本文介绍了低场核磁共振NMR技术在岩土、能源地矿等领域的前沿应用。重点介绍一种基于核磁共振技术与岩石热损伤及核磁共振灰度图像表征方面的内容。
岩石的热破裂和损伤机制在核废料地质处置工程中越来越受到重视,是全面认识核废料处理工程的一个关键问题。利用核磁共振成像技术,统计构成核磁共振成像图的像素值,得到统计分布转移方式,呈现不同温度的岩样内部结构框架,以此来揭示热应力对花岗岩晶粒的损伤机理。
试样制备
岩芯试样取自甘肃省北山地区,平均海拔1600~1700m,年降雨量78.9mm,年蒸发量近3130.9mm,属于干旱戈壁岩漠地区。试样选用宏观均质性良好的花岗岩岩块,加工制作成φ50mm x 100mm的标准样。

图1 花岗岩岩芯试样
通过对芯样进行XRD衍射分析,其矿物主要成分为60.59%长石,34.09%石英,5.32%黑云母。

图2 花岗岩XRD衍射分析
试验过程与微细观检测
以4℃/min的升温速率加热至预设温度(100℃、200℃、300℃、400℃、500℃、600℃、700℃),保持恒温2h,之后恒定降温速率对样品冷却,每组5个试样,以减少实验误差。
采用纽迈分析的MacroMR12-150H-I大口径核磁共振成像分析仪,对热损伤后的岩芯样品进行了核磁共振测试。

图3 MacroMR12-150H-I 低场核磁共振成像分析仪
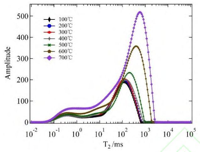
花岗岩的核磁共振T2分析

图4 不同处理温度下花岗岩样品的弛豫时间T2
从不同温度下的T2谱图中可以看出,T2图谱表现为双峰特性,其中较低的峰值范围主要在10ms以内,大于10ms以上的孔径范围信号幅值偏大,即孔隙主要集中在该范围内。低于400℃以下的图谱双峰形态和走势一致,谱曲线基本重合,表明加热温度低于400℃时,温度对花岗岩内部的微观结构影响极小。
当温度从500℃逐渐升级至700℃时,右侧峰曲线所对应的T2谱范围扩大,左峰和右峰信号幅值显著增强,谱范围持续扩大,表明持续的热损伤加剧导致了岩芯内部微裂纹、穿晶裂纹的出现,使得裂纹的长度和数量不断增加,同时随着温度的升高,较小的裂纹也会逐渐演变为大的裂纹。
花岗岩的核磁共振T2谱面积与温度关系

图5 T2 谱面积与温度的关系
利用T2谱面积来评价温度作用下岩石损伤程度,从上图可以看出,T2谱面积在低于400℃时,随温度的升高,谱面积并未发生明显改变,当温度高于500℃时,谱面积急剧增大,整体谱面积与温度呈现幂函数形式的增加。
花岗岩的核磁共振孔隙度

图6 孔隙率与温度的关系
从上图可以看出,核磁共振孔隙度与温度之间的变化规律,与T2谱面积变化规律相似,在高于500℃时,内部结构变化显著,均呈现为幂律函数形式增加。
花岗岩的核磁共振成像分析
当像素颜色点颜色越深,孔隙、裂隙所充满的液体也就越多,表明样品内部孔隙、裂隙愈发育,对应像素值愈大,从而可直观反映岩样内部孔、裂隙分布情况。

图7 不同温度处理样品水平截面的质子密度加权像
上图为不同温度下样品的水平截面质子密度加权图像,右侧图例彩条显示内部孔隙含1H质子的相对强度范围。当温度低于500℃时,质子密度分布均匀,从像素分布看,没有明显的质子密度簇;随着温度继续升高,质子密度高的区域逐渐融合成大的连通区域,微裂纹相互作用并聚结成裂纹网。
核磁共振成像灰度值分布特征
核磁共振成像像素值大小及像素点深浅时反应损伤程度的介质,图像由不同颜色的像素点组合而成,利用像素值的差异进行岩芯成像的统计分布,通过图像的统计分析是研究岩石受热过程中内部结构变化规律的有效手段。

图8 不同花岗岩试样NMRI像素值概率密度函数分布
上图为不同温度花岗岩试样像素值的概率密度函数分布图,所有对应温度下的成像分布遵循对数正态分布。随温度升高,曲线向右大幅度移动,较大像素值增加,岩石内部损伤加剧,概率密度峰值所对应的像素值增大并向右转移,像素分布迁移规律与T2谱图分布变化特征一致,能定量表示花岗岩在高温作用下内部结构损伤过程。
(1)核磁共振T2谱图在低于400℃以下时没有明显变化,当温度高于500℃时,T2图谱幅值显著增加且向右大幅移动,T2谱面积与孔隙率在升温过程中呈现幂率关系。
(2)通过核磁共振成像可以看到,温度低于500℃时质子密度分布均匀且没有发现明显的质子密度簇,说明岩石内部结构稳定;当温度持续升高,芯样内部晶体裂纹和边界裂纹逐渐产生,融合形成大的连通区域。
(3)花岗岩岩样在不同温度条件下的核磁成像像素概率密度函数都服从对数正态分布,当温度超过500℃时,概率密度函数整体向右移转。
学而思,以致用
现阶段,利用低场核磁共振NMR、X-CT技术来D定量表征多孔介质内部裂纹损伤演化的技术逐渐成型,本质上来说,是数字岩心分析技术(DigialRock Physics)。


利用数字岩心分析技术可进行岩石特性参数计算及渗流特性模拟,即通过微纳米成像技术将微观孔隙结构以数字化图像直接表达,定量地表征岩芯内部微观孔隙结构产生和劣化的过程,对岩土工程、能源地矿、石油开采、储层评价等工程有非常重要的工程应用价值。
[1] 孙中光,姜德义,谢凯楠,等.基于低场磁共振的北山花岗岩热损伤研究[J].煤炭学报:1-11
电话:400-060-3233
售后:400-060-3233
返回顶部